1、制粒機本身參數的影響
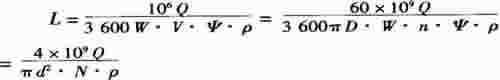
沒制粒機的產量為Q(kg/h),環模內徑為D(mm),環模有效寬度為W(mm),環模線速度為v(m/s),環模轉速為n(r/min),環模孔徑為d(mm),環模開孔率為ψ,開孔數為N(個),制出的顆粒在未切斷時的長度為L(mm),顆粒密度為p(kg/m3).則可以計算出未切斷時的顆粒料的長度為:
對于上式,我們不難分析出影響制粒機顆粒長度三的因素。
1.1制粒機產量的影響
由公式可以看出,顆粒長度L和產量Q成正比,在其它參數不變的情況下,產量越高,顆粒越長,反之顆粒越短。因此,為了達到特定的顆粒長度要求,調節制粒機的產量是一種可能的選擇方法,在實際飼料生產中,飼料生產廠家也是這么做的,有時甚至會犧牲許多產量來滿足顆粒長度的要求,這個問題在后面的討論中還會提到。
1.2環模線速度或轉速的影響
由公式可以看出,顆粒長度L和環模線速度V或環模轉速n都成反比,在供料速度即產量Q不變的情況下,環模的速度越快,瞬時擠出的顆粒越短,反之越長。對于大小不同的制粒機來說,環模的轉速差別很大,一般小型制粒機轉速高,大型制粒機轉速低,但環模線速度都控制在一個合適的范圍內,一般在6~9m/s之間,以適應制粒的需要。當環模的線速度小,制出的顆粒質量高,但制出的顆粒有可能比要求的要長,同時過小的線速度會影響產量;當環模線速度高時,雖然有利于產量的提高,但制出的顆粒有可能比要求的要短,同時顆粒的質量會變差,這就要求飼料生產廠家要根據不同的飼料品種來選擇適合自己的環模線速度.其方法可通過改變制粒機傳動系統的傳動比來實現。
1.3環模孔徑及開孔率的影響
環模孔徑d對顆粒長度L不直接產生影響,它和開孔數Ⅳ共同來對長度L產生影響,即環模開孔率ψ的大小,因為開孔率ψ正比于環模孔徑d的平方與開孔數Ⅳ的乘積。環模開孔率越大,制出的顆粒越短,反之顆粒越長。環模的開孔率對應于不同的環模孔徑時是不同的,如環模孔徑為φ1.8mm的環模,開孔率約為25%,環模孔徑為φ5mm的環模,開孔率約為38%,一般是孔徑越大,開孔率越高。在實際生產中,尤其在生產小直徑的顆粒料時,如生產φ1.8mm的蝦料,有的用戶會抱怨制出的顆粒太長,就是因為小孔徑時對應的環模開孔率較低造成的,解決的辦法之一是可用犧牲一部分產量的方法來實現,或用上一節討論的通過提高環模的線速度的方法來實現,另外的方法還有調節切刀等,這將在以下的內容中討論。
1.4環模內徑、環模有效寬度及顆粒密度的影響
對于一臺制粒機來說,環模內徑D、環模有效寬度W都是較固定的參數,一般不會改變,用戶也不容易改變,因此它們的影響在這里不作討論。顆粒的密度和制粒的原料有關,也和環模的壓縮比有關,壓縮比越大,制出的顆粒越結實,密度越大,但對于一般的產品來說,顆粒的密度相差都不大,因此顆粒密度不是一個主要影響參數,這里就不再作過多的討論了。總之對于同一種制粒原料來說,制出的顆粒密度越大,顆粒長度越短。
2、切刀的影響
2.1切刀數量的影響
切刀數量通常是由制粒機壓輥個數決定的,一般制粒機有2~3只壓輥,每只壓輥相應配一只切刀,如果每把切刀都使用的話,則環模每轉動一周,一定量的來料被擠出后則相應的被切刀切割2次或3次,因此,如果產量一定,三把切刀的制粒機要比兩把切刀的制粒機制出的顆粒要短,也就是說三壓輥制粒機要比兩壓輥制粒機更有利于控制顆粒的長度,在實際使用時也是如此,如在生產小粒徑的水產料時,由于長度要求較短,通常選用三壓輥的制粒機,采用三把切刀進行切割。
2.2切刀結構及調整的影響
切刀一般分為硬質刀片型及薄刀片型。硬質刀片耐磨性好,韌性差,適用于大粒徑的畜禽料等;薄刀片韌性好,耐磨性差,適用于小料徑的水產料。在調整時,硬質刀片一般要調整到刀口離環模外表面5mm左右,距離太小時粉料會增多,且可能會碰傷刀口,太大時顆粒長度不甚一致,有可能會出現長顆粒料,因為隨著距離的增大,刀口對顆粒的折彎力矩增大,顆粒可能會從環模表面折斷。薄刀片因為具有彈性,可以調整到貼住環模外表面的位置,這樣切出的顆粒整齊一致,特別適用于一些小粒徑的水產料,如蝦料的制粒。在實際生產中,切刀的調整是很靈活的,可根據需要使用一把、兩把或三把切刀進行切割。另一種情況是,在理論上,當兩把或三把切刀同時使用時,切刀口應調節到和環模外表面的距離相等的位置,這樣切出的顆粒才整齊,但實際情況并非如此,由于制粒機在供料時,可能存在分配上的缺陷,分配到每個壓輥上的飼料量就不能保證完全一致,這樣在每個擠壓區內擠出的顆粒長度就不一樣,有的擠壓區擠出的顆粒長些,有的擠壓區擠出的顆粒短些,但在一個擠壓區內基本是一致的,對于這種情況,就應該分別調整每個切刀的位置,使喂料量分配少的壓輥處的切刀離環模表面距離近一些,喂料量分配多的壓輥處的切刀離環模表面的距離遠一些,才能使整體上制出的顆粒長度一致。
3、環模模孔結構的影響
最常用的環模模孔結構有兩種,直通圓柱形孔(圖1)和階梯圓柱形孔(圖2)。
直通圓柱形孔制出的顆粒長度較均勻一致(如圖1所示),而階梯圓柱形孔制出的顆粒經常出現有個別的長顆粒現象(如圖2所示),它的形成機理是這樣的:采用階梯圓柱形孔的原因是因為實際制粒需要的壓縮比較小,而環模因有強度的需要又不能在厚度上做得太薄,只能采用把原直通圓柱孔外面的一段孔擴大一些的方法來達到目的,這樣既保證了環模壓縮比,又滿足了強度要求,但這樣一個折衷的辦法帶來的后果是,切刀在切割時由于切割點離顆粒折彎點的距離變大了,在切刀不夠鋒利的情況下,顆粒就有可能從階梯孔的交界處折斷,變得比普通的顆粒要長,這種情況在外面的階梯孔鉆得比較深時更為明顯。解決的辦法是改變飼料配方,盡可能采用大一點的壓縮比,不用階梯孔或使之盡量短;或采用較鋒利的切刀,并盡量靠近環模;或調節飼料水分大一些,使擠出的顆粒脆性減小、質地變軟而不易折斷。
4、制粒后篩分系統的影響
制粒后的顆粒料必須經過篩分,篩去不需要的大顆粒、小顆粒和粉料,才能得到長度均勻一致的合格產品。飼料廠一般采用回轉式分級篩或振動式分級篩進行顆粒的篩分。分級篩一般都配有上下兩層篩網,上層篩網的篩上物是長度較大的顆粒料或大的雜質,下層篩網的篩上物為成品料,其篩下物為長度較小的顆粒料和粉料,因此,對于一臺現有的分級篩來說,如何合理地配置篩網是影響成品料長度均勻性的關鍵。飼料生產廠家如果要求成品料的長度均勻性較高,就必須去除較多的大顆粒料和小顆粒料,而得到的成品料則較少,反之得到的成品料較多,這要靠各個生產廠家自己去掌握。
5、結束語
從以上討論可知,影響制粒機顆粒長度的因素很多,各個生產廠家必須根據自己的實際情況,根據不同型號的制粒機和飼料品種去摸索,總結出適合自己的一套顆粒長度控制方法,另外,需要說明的是,上述的很多因素都具有兩面性,不能因為一味追求需要的長度而付出過多的代價,如產量、零部件及原料成本、人力等。
轉載請注明:富通新能源顆粒機m.czljfz.cn



