1.3.3環模線速度
設計環模轉速時要考慮四個問題:①制粒產量:它與轉速沒有正反比關系,存在最佳轉速范圍對應最佳產量;②顆粒成形率,太高轉速容易把壓制出來的顆粒甩碎,降低成形率,即等于產量下降;③不同飼料配方對應不同轉速,以壓制高品質飼料;④環模內徑尺寸,環模運轉過程中產生離心力,轉速太高,離心力就越大,影響
顆粒機穩定性。綜合上面因素和結合世界制造顆粒機的經驗,環模的轉速應由環模內徑線速度確定。
根據經驗,模孔直徑小的環模,應采用較高的線速,而模孑L直徑大的環模則應采用較低的線速。環模的線速,會影響制粒效率、能耗及顆粒的堅實度。在一定范圍內,環模的線速提高,產量增大、能耗提高,顆粒的硬度和粉化率指數上升。一般認為,模孔直徑為3.2~6.4mm時,環模的最高線速可達到10m/s;模孔直徑為16~19mm時,環模的最高線速應限制存6.1~6.6m/s。而在實際應用中,國內外廠商選用的環模線速均在3.5~8.5m/s。而一機多用的情況下僅使用一種線速度,是不能適應不同種類飼料加工的要求的。比較普遍的現象是,大型顆粒機生產小孔徑顆粒飼料時質量不如小型顆粒機效果好,尤其是在生產直徑3mm下的畜禽飼料和水產飼料時特別明顯。環模的線速過低和爪輥直徑過人是主要因素,這些因素會造成壓制物料穿孔速度過快,從而影響硬度和粉化率指數。最理想的解決辦法是采用無極調速。由于位置投資成本的限制,也不太現實。CPM等多家公司采用可調雙速傳動,以適應不同孔徑和原料的加工需要,獲取最佳的生產效果,提高顆粒機的通用性。國外還有多家公司采用同一種機型配置2~3種不同的環模線速,供客戶選擇,以適應不同的專業生產要求。

1.3.4環模安裝方式
環模安裝方式主要有直面式安裝、錐面式安裝和抱箍式安裝。直面式安裝簡單,壞模不易傾斜.但環模固定螺栓容易剪斷,不適用于大型號的顆粒機.錐面式安裝環模定心性能好,傳遞扭矩大,環模固定螺栓不易剪斷,但需要裝配者細心和掌握一定的技巧,不然環模易裝斜。抱箍式安裝比較適用于小型號的顆粒機,安裝方便,需時短,缺點是環模本身不對稱,不能掉面使用。
目現市場上環模安裝方式主要有:螺栓聯接安裝、錐面聯接安裝和抱箍聯接安裝。
螺栓聯接安裝方式簡單,環模不易傾斜,但同心度不好及環模螺栓孔和空軸傳動輪上的螺栓孔位置度不相配時,安裝后可能單只螺栓受力時,螺栓容易斷,選用環模時要求供應商保證螺孔的位置度,并且要求用轉模鉆孔。
錐面聯接安裝的環模定心性能好,傳遞扭矩大,環模固定螺栓不易剪斷,但使用中螺栓松動,傳動輪上的錐面磨損后,必須通知供應商環模上的錐面的大小頭直徑都放大一點,環模制作不能標準化。
抱箍聯接安裝具有錐面聯接的定心性能好,傳遞扭矩大等優良性能,是一種軸向錐面聯接方式;環模使用中擠壓力大,抱箍型聯接是對環模很好的加強,但整體抱箍在熱處理時抱箍根部應力大,環模容易丌裂。改成熱壓鑲箍工藝后,熱處理時環模內應力小.熱處理后環模熱壓加箍,環模內生產預壓應力,和壓輥對環模的擠壓應力相抵消。箍材料為碳鋼,可降低不銹鋼材料成本。是一種較好的聯接方式。
1.3.5環模直徑與制粒生產效率和品質的關系
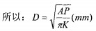
(1)環模內徑D和壓帶寬b
根據單位功率面積理論推導,環模內徑D應在一最佳范圍內,由單位功率面積A計算式得:
A=πDb/P
在相同環模面積的情況下,寬度過小使壞模直徑相應增大,從而主機整體體積都增加,造成不必要的浪費;寬度過大使物料落入環模后,不能達到稚料均勻,至使壞模和壓輥在使用的過程中磨損不均勻,壽命減少。所以選擇合理的環模寬度和直徑,既是保
證壓制機產量的關鍵,也是提高易損件和整機壽命的關鍵。經研究試驗,~般,b與D的關系為:
b= (0.2 - 0.3)D=KD

(2)環模直徑與制粒能耗的關系
大直徑環模顆粒機由于增加了環模的有效工作面積和壓輥的擠壓作用,可提高飼料的生產效率,降低磨損費用和操作成本,使物料能均勻地通過制粒工序,避免過度擠壓,提高顆粒的質量。從不同環模直徑與電耗的關系見下圖。從圖中可以看出,在相同調質溫度和耐久性指標下,使用小直徑的環模和大直徑環模相比電耗有明顯的差異。因此,使用人直徑環模足降低制粒能耗的一項有效措施。
(3)不同規模顆粒機質量、產量、能耗、成本之間的關系系
顆粒機的規模大小,決定了環模的直徑大小。2臺環模直徑相差500mm、壓輥直徑相差80mm的顆粒機,在質量基本穩定的前提下,大直徑環模、壓輥顆粒機,產量提高65%,能耗低15%。顆粒壓制的規模越大,相關成本越低。
(4)環模的直徑與使用壽命和成本之問的關系
環模的直徑與使用壽命成線性關系,環模的直徑越大,環模的使用壽命越長。從而可以降低環模和廠K輥的磨損費用。環模直徑900mm與520mm相比,生產每噸飼料可減少環模和壓輥成本50%,
1.4課題研究的依據和研究內容
我國是飼料牛產的大國,飼料產量占世界總量的1/8,已連續多年居世界第二位,每年還以lO%以上的速度增長。我國飼料總產量的70%以上為顆粒飼料。環模顆粒機足顆粒飼料加工的重要設備,廣泛應用于畜牧業家禽養殖業漁業等飼料加工。環模是顆粒機的關鍵零件,同時也是最主要易損件。根據統計,環模損耗費占整個生產車問維修費的25%以上,同時對擠壓出來的顆粒飼料質量有著直接的影響。其使用壽命和質量的優劣卣接影響到顆粒飼料的生產成本和質量。
國內進行飼料加工設備研究和生產的企業也是發展很快。國內對于環模顆粒機的研究從各個方面各個層次展丌,對于影響環模顆粒機制粒質量、生產率的環模和壓輥使用壽命等進行了卓有成效的研究。研究資料表明,國內的顆粒機與國外相比而言,還有相當的技術上的差距。
本課題以顆粒飼料加工關鍵設備環模顆粒機的關鍵零件環模為研究對象,對環模的材料、熱處理工藝和模孔冷加工工藝進行研究。為了實現對環模的評價,本課題研究過程中,做了大量的試驗,采用試驗設計的優化方法和有限元分析方法相結合的研究方法。在試驗設計中,采用正交試驗的方法,分析環模的材質、熱處理工藝和冷加工工藝等試驗因素對環模質量的影響。模孔冷加工工藝主要研究壞模鉆模孔程序及對粗糙度的影響。環模熱處理工藝主要研究真空爐淬火溫度對環模硬度的影響、回火溫度對壞模硬度的影響、真空淬火對環模模孔粗糙度的影響以及真空淬火、回火對環模尺寸的影響。有限元分析中以UG、ANSYS作為仿真環境,針對環模使用壽命的問題,分析環模在均勻載荷與非均勻載荷時的應力與應力強度分別情況,提出合理的方案以解決環模的不均勻磨損。本課題最終形成了真空淬火熱處理標準工藝及環模模孔槍鉆冷加工標準工藝,形成環模的驗收標準。
三門峽富通新能源生產銷售顆粒機、
秸稈壓塊機、
木屑顆粒機等生物質燃料飼料成型機械設備。同時我們也銷售顆粒機環模等配件。