環模顆粒機通過壓輥對物料的擠壓作用,將飼料顆粒從環模孔中擠壓出來。在制粒過程中,物料在環模孔中受到軸向的擠壓力,物料與環模孔內壁之間存在摩擦力,環模孔中的軸向擠壓力克服物料與環模孔壁的摩擦力,最后將飼料顆粒擠壓出環模孔。因此,有必要對環模孔內的軸向擠壓力和摩擦力進行分析,探討影響擠壓壓強和摩擦力大小的因素,以及對制粒過程的影響。
圖2.8所示的物料在環模孔中的受力狀況圖,物料從右邊的環模孔進料口進入,壓制成形的飼料顆粒從左邊出料口被擠出,環模孔直徑為D,環模孔總長Lp。物料在環模孔進料口受到擠壓力C,物料與環模孔內壁之間的摩擦力F。圖中的dV是體積的微分表達。dV包含了物料的厚度變量dX和環模孔半徑r。那么軸向擠壓物料的壓強可以用微分dX來表示:


首先簡化環模孔進料口的形狀,將進料口錐形倒角忽略,如上圖2.8所示物料進料口的形式為直形孔。再假設軸向擠壓力的微分表達dFx在整個環模孔的橫截面積πr2上為固定值。將物料擠出環模孔的擠壓力的大小將從進料口到出料口會逐漸遞減,把物料擠壓進環模孔時所需的擠壓力是最大的。在上圖中把dPx定義為正值。摩擦力dF可以表示為:

為了能更好地將x軸方向的軸向擠壓力dF.與摩擦力dF關聯起來,并分析它們之間的作用關系。首先假設制粒物料是正交異性物料,只發生彈性變形。那么應力和應變之間滿足胡克定律,呈線性變化關系。在分析過程中,需要忽略模型的塑性變形。
因為擠壓物料的特性應該滿足胡克定律,應力與應變的比值是固定的:

應力的定義為單位面積上所承受的力或載荷,單位為N/mm2。由于面積和力都是矢量,如果面積方向和受力方向相同,那么所受的應力為正應力。如果面積方向和受力方向互相正交,那么所受的力稱為剪應力。當物料在擠壓力的作用下不能產生位移時,物料的幾何形狀和尺寸將發生改變,就稱之為應變,應變是無量綱。一定體積形態的制粒物料膨脹或壓縮的狀態由于所加的載荷消失的情況下而回復正常狀態,稱之為彈性應變。
物料正應變與物料的切應變之間有一定的關系,這種關系只受制粒物料的特性和泊松比的影響。物料的泊松比是指在材料的比例極限內,由均勻分布的縱向應力所引起的橫向應變與相應的縱向應變之比的絕對值,如下圖2.9所示。因此物料的泊松比可以表示為:

正如先前所假設的,軸向擠壓力dFx在制粒環模孔的橫截面積上保持為一定值,而且在環模孔的橫截面上待制粒物料的特性是一樣的。其中,是環模孔半徑,△,是物料顆粒通過環模孔后直徑的伸長量。在空間受限制的環模孔內,物料的半徑伸長量是被禁止的,因此應變就可以看成是應力作用在環模孔壁上產生的。
根據圖2.8所示,胡克定律可以用物料受到的軸向和徑向的擠壓力來表示:


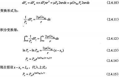
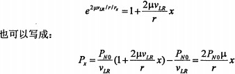
上面求得的式(2.4.15)只有在P不為零的情況下成立,等式中的數值Px0指的是滿足制粒條件時,即擠壓力能將物料順利擠出模孔,環模孔內物料受到的初始擠壓壓強。在下面的分析中,將預應力p從零開始逐漸增加,分析預應力對制粒過程的影響。


當環模孔中的物料受到預應力作用時,需要先假設物料是有彈性的,飼料顆粒的變形在載荷移除后是可以恢復的。按照前面的分析,在制粒過程中,當擠壓壓強移除后,飼料顆粒會很容易的從環模孔中擠出。但是,實際情況并非如此,因為有預應力PN。的作用,飼料顆粒被緊緊地束縛在環模孔內。因此計算正壓力PN的時候,首先必須考慮。

因此,當x的值很小的情況下,制粒過程中擠壓壓強與泊松比無關,這個過程發生在制粒的開始階段。此時,并沒有初始擠壓壓強的作用,而物料擠壓進模孔時發生的變形也與泊松比無關。只有當初始軸向擠壓力開始起作用時,物料開始發生變形。很明顯的是初始軸向擠壓力與環模孔的結構特性和物料的制粒性能有關,在下一章節中將分析這些參數對軸向擠壓壓強的影響。
三門峽富通新能源銷售木屑顆粒機、木屑顆粒機環模、飼料顆粒機等生物質成型機械設備。