生產效率是衡量環模
顆粒機性能的關鍵因素。如何充分發揮顆粒機生產能力,確保其穩產、高產成了各企業提高經濟效益的關鍵L63-661。但是環模顆粒機生產效率的影響關系很多,環模與壓輥的結構參數和物料特性對生產效率的影響最為關鍵,下面進行一一分析。


3.3.1生產效率的計算
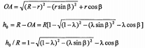
在上一章中推導出了環模和壓輥之間被壓入物料高度的計算公式。從式(2.3.19)中可以看出供料區物料層厚度與環模壓輥的結構參數有關,而且關系比較復雜。而物料層厚度的大小將會直接影響環模顆粒機的生產效率,當壓輥和環模結構參數一定時,物料層厚度有一最佳值,可以在最大程度上提高環模顆粒機產量。下面試從環模、壓輥的直徑和物料攫取角方面分析其對壓入物料高度的影響。
取環模直徑為350mm,壓輥和環模的輥徑和模徑比從0到0.7之間變化,變化間隔為0.01。攫取角分別取30°、40°、50°和60°的情況下,分析輥徑模徑比與物料高度h之間的關系,繪制曲線如下圖3.8所示:
從上圖3.8中可以看出:
(1)物料高度h隨輥徑模徑比的增大而增大,但不呈現出線性關系。輥徑模徑比越大,物料高度h增加的速度越快。所以,在一定范圍內盡可能提高壓輥直徑是可以有效提高供料區物料層厚度的,即提高顆粒飼料的生產效率。但是,當輥徑模徑比超過一定值后,再增加壓輥直徑,生產效率將不會再提高。從上面的分析中可以看出:當攫取角在30°、40°、50°、60°時,對應的最大輥徑模徑比分別為0.66,0.60,0.56,0.53。超過上面輥徑模徑比的最大值后,物料的壓入高度將不再變化,也不能提高生產效率。所以,若開發大小輥環模顆粒機時,所設計的大輥直徑不能超越該臨界值。
(2)攫取角越大,曲線越陡,壓入物料的速度增加越快。這表明針對不同的物料,物料高度h隨輥徑模徑比增大而增大的敏感度程度不一樣,攫取角越大越敏感,顆粒飼料的生產效率也越高。
物料攫取層厚度h與攫取角λ、顆粒機輥徑模徑比λ以及環模直徑R之間的關系
如式(3.3.1)所示。根據該式進行計算,可得到理論最佳值。 環模旋轉1周,被一個壓輥擠入環模孔中的物料量由物料層厚度h決定,如上圖3.9所示,被攫入物料的體積:

環模顆粒機的壓輥主要有最常用的兩輥式的,還有三輥和大小輥式的。根據推導出的生產效率計算公式分析不同壓輥形式對生產效率的影響,在一定范圍內盡可能提高環模顆粒機的生產效率。