地質標準物質的制備與測試中,貴金屬元素在礦石中常成自然金屬存在,分布不均勻,且延展性大,比重大,硬度低和含量低。多年來人們根據金礦石的特性,對金礦石的加工以及金的分析方法等方面進行了大量的研究工作,并能夠通過采用相應合理的加工流程,獲得滿足粒度要求、對原樣有代表性的產品;但針對銅鎳鉑(族)礦石進行的加工流程的研究,特別是針對高含量銅鎳含鉑(族)礦石樣品的加工流程研究相對較少。由于貴金屬鉑族元素在地質樣品中的特殊性,加工機械設備、工具和采用制備流程選擇不當使其很難破碎,必然導致均勻度檢驗難以通過。目前,國內貴金屬標準樣品加工流程多采用顎式破碎機粗碎、對輥機中碎、球磨機細碎磨混或混樣機混勻的加工流程。本文在5個不同品級、不同含量銅鎳鉑(族)礦石標準樣品研制中,采用了顎式粉碎機粗碎、雷蒙磨粉機細碎,然后一次球磨機磨一混勻的加工流程。經過粒度篩分試驗、均勻度及穩定性檢驗,一次通過,取得較好效果。
1、雷蒙磨粉機工作原理
-
適應物料:強度小于300Mpa物料
設備類型:雷蒙磨
-
適應物料:強度小于300Mpa物料
設備類型:礦山機械
-
適應設配:雷蒙磨
設備類型:雷蒙磨配件
雷蒙磨(Raymond Mill)粉機流程與一般加工流程的關鍵區別在于加工機械的選用。本次樣品加工選用了雷蒙磨(3R2714A,上海礦山機械廠)粉機(又稱旋輥式磨粉機)。其工作原理是:主機通過傳動裝置帶動中心軸轉動,中心軸的上端連接著一個主要零件——梅花架,輥子軸安裝于梅花架上,梅花架由主機傳動裝置帶動而快速旋轉,磨環固定不動,電磁振動給料機把物料定量、均勻、連續地送入主機內,在磨輥與磨環之間受到磨碎作用。氣流從磨環下部以切線方向吸入,經過磨輥與磨環之間的磨碎區,夾雜粉塵進入磨機上部的風力分級機(空氣選粒機)。梅花架上安裝有3個磨輥,不僅圍繞著中心軸線公轉,同時磨輥本身因摩擦而自轉。由于公轉產生的離心力,輥子向外張開,壓緊磨環并在其上面進行磨碎,每個磨輥前面裝有一把錐形鏟刀,鏟刀與梅花架連接在一起,傾斜安裝,其位置正好與磨輥安裝位置相交叉,每一把鏟刀在旋轉中使物料形成一股物料流連續送入磨輥與磨環之間,形成一個墊料層,由于磨輥在轉動時所產生的離心力,物料的粉碎即由此而產生。研磨后的粉樣被鼓風機的氣流吸出,經置于主機上方的可調風力的雙排式葉輪分級機分級。葉輪轉速越高,分級的樣品粒度越細。葉輪由轉盤及若干個徑向葉片構成,回轉時使氣流產生旋轉運動。旋轉氣流產生的離心力使粗顆粒向外層聚集,更多不合粒度要求的粗粒粉樣,被拋向雷蒙磨粉機外殼內壁,失掉離心力,由重力作用,最終脫離氣流而重新回落至主機下部的磨碎區再度進行粉磨,形成了一個循環系統。物料不斷地被粉碎,又被氣流不斷地帶走。被氣流攜帶向上而進入旋風集塵器,從集塵器下部出粉管道排出即為所需細粒度樣品;設置以控制傳動裝置轉速提高磨輥轉速,控制風力和給礦量,被凈化的氣流從上部排人風機并返回磨機的返回風箱。整個系統在負壓下工作,多余的氣流經過另一臺旋風集塵器再處理后排人大氣。由此獲得的礦石標準樣品均被粉碎至粒度小于0.074 mm(-200目),樣品粒度有了充分保證。
2、樣品的加工
地質標準物質的制備是將天然的、由各種不同礦物組成的不均勻物質制備成均勻的物質。其基本要求是要保證樣品充分均勻,及在分析測試取樣范圍內具有適應性、代表性。具體步驟如下。
2.1加工流程
將原樣晾干,仔細挑出雜物,人工錘擊至粒度小于100 mm,經顎式破碎機粗碎至小于6mm,樣品采用雷蒙磨粉機細碎,磨至粒度約O.074 mm。按照出樣順序裝入50 kg聚乙烯高強白色塑料桶,間隔抽取3~5個分析樣品;少量殘余樣品經盤磨機研磨至粒度小于O.074 mm后裝桶.各桶抽取樣品進行化學分析。根據分析結果,按所需鉑元素含量階梯,取上述兩種樣品所需重量樣品,并全部裝入已有一定質量的高密度高鋁磨球及高鋁瓷襯里球磨機內,進行磨細一混勻。樣品質量和高鋁磨球質量比、混樣時間見表1。

2.2粒度篩分試驗
將加工到一定粒度的樣品隨機稱取200 g,由小至大采用不同篩網的標準篩進行水篩來檢查樣品粒度。不同粒級的篩余物,晾干后稱重,求出不同粒級占總樣量的質量分數,并對大于0.074 mm以上的殘余物進行鏡下鑒定,未見有金屬礦物。試驗結果見表2。4個樣品粒度小于0.074 mm的占樣品總量的99%以上,4號樣品小于0.074 mm占樣品總量的98%以上。
3、均勻性與穩定性
3.1抽樣及測試
本批標準物質的均勻檢查按規范要求決定抽樣數。當總體單元數少于500時,抽取單元數不少于15個;總體單元數大于500時,抽取單元數不少于25個。本次每種樣品隨機各抽取30瓶,每個樣進行雙份測定。測定項目是依據礦石的物質成分及賦存狀態,兼顧高、中、低含量范圍,選定Pt、Au元素及Fe203 .Co、Ni、Cu項目。其中,Pt采用堿熔一硫脲富集一催化極譜法(POL)測定;Au用原子吸收光譜法(AAS)測定;Fe2 03、Co、Ni、Cu用X熒光光譜法(XRF)測定。而后用統計檢驗判斷其均勻性。

3.2均勻性評價
據單因素方差分析,計算組內方差和組間方差的比值,通過F檢驗法、臨界值及變異系數法綜合評價,來判斷各組測量之間是否有顯著性差異。
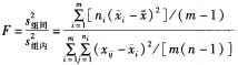
設抽取了m個樣品,第i小瓶內第j份樣品的測定值為Xi。則有

式(1)中:m-抽樣個數;n測定次數;X一組內測定平均值(兩次測定平均值);x-組間測定平均值(組內測定的平均值的平均值);組內測定值。
按式(1)計算F值,再根據自由度-1)]及給定的顯著性水平a,可由表查得臨界值F。,如果兩者之比小于統計檢驗的臨界值,當F< Fa時,則可認為樣品均勻,否則樣品可能不均勻。但在實驗工作中,即使F<F。不等式成立,樣品也不一定均勻。故引入總體參數(標準偏差、相對標準偏差)予以綜合判斷。總體參數的計算為:

各標準物質的均勻性檢驗結果和統計量見表3。由表3可見,用F及RSD的允許值衡量,樣品中各元素分布均勻。
3.3穩定性檢驗
樣品穩定性是在不同年份內選定硫(S)、氧化鐵(Fe203)的質量變化進行跟蹤,測試結果具有良好的一致性,不同年度分析結果的標準偏差、相對標準偏差在正常誤差范圍內,說明被測樣品是穩定的。
4、結果討論
(1)用雷蒙磨粉機加工銅鎳鉑(族)礦石標準物質是可行的,其優點是加工無需過篩(因采用風力分級的原理,相當于邊加工邊過篩),加工量大,磨礦效果比一般球磨機好;其缺點是加工過程中無混樣作用,故磨后還需進行混樣,對不同金屬礦物有時有分異現象。
(2)采用該機械加工標樣,可簡化為兩道工序,即樣品經過分揀、晾曬后先將礦樣用同雷蒙磨粉機配套的顎式破碎機粗碎后,樣品經提升機提人樣斗中,然后用電磁振動給料機定量、均勻、連續給料,雷蒙磨粉機直接加工至粒度小于0.074 mm(或所需粒度),然后一次將樣品裝入瓷襯球磨機磨一混均勻,邊磨邊混,即將專用混樣器中的固定隔板變成既有摩擦力又有剪切力的全動態球形磨混裝置,大大提高了工作效率,改善了勞動條件。
(3)該加工流程也適用于其他樣品量大的地質巖石、礦石標準樣品的加工,但存在樣品過粉碎現象,應在加工、混勻中予以注意。