顆粒機是顆粒飼料生產中的關鍵機械設備,顆粒機中最常用的是環模顆粒機,環模和壓輥是顆粒機的核心部件。在工作過程中,由于環模與壓輥的互相擠壓和環模與飼料間的摩擦力,環模和壓輥的主要失效形式是磨損,其次是疲勞破壞,其中以磨損為主,這不僅降低環模和壓輥的使用壽命,而且直接影響到顆粒機的生產效率和產品質量。環模和壓輥磨損失效后最好同時更換,如果環模和壓輥僅換其一,將加速模、輥的磨損。為了減少昂貴的環模耗用量,常舍輥保模,延長環模使用壽命。因此分析環模的磨損機理,進行磨損計算就顯得非常重要。目前所發表的研究工作集中在環模的磨損失效分析、討論磨損因素、材料性能實驗、壓輥磨損簡要計算等上面,對于環模的磨損計算問題考慮不多。本文在同行以前所作的研究工作的基礎上,從探討環模磨損計算模型人手,建立環模磨損厚度的計算公式,推導計算公式中的參數,并用磨損實例進行討論,以期為環模的耐磨損設計提供參照,達到延長環模使用壽命的目的。
2、環模磨損計算模型分析
環模和壓輥用碳素結構鋼或合金結構鋼制造,環模顆粒機生產顆粒飼料時,飼料硬度很明顯比環模和壓輥的硬度低很多,飼料磨料為軟磨料,環模和壓輥為祓磨材料,它們之間的磨損稱為軟磨料磨損。通過環模磨損失效分析,首要原因是環模表面在反復塑性變形產生的疲勞剝落,同時伴有微觀切削,導致環模表面的材料流失,發生磨料磨損失效。磨料磨損是一個復雜的,多種磨損機制綜合作用的摩擦學過程,到目前為止,還沒有完全掌握磨料磨損規律,各研究者對磨料磨損機理還有爭論,難以建立一個通用的計算磨損模型。克拉蓋爾斯基提出磨損的疲勞理論時指出:“疲勞磨損機理在一般磨料磨損中起主導作用”。磨料磨損時材料微觀局部塑性變形實際上是一種微觀應變疲勞導致的材料損傷,所以環模磨損可以用疲勞磨損計算模型來考慮。
2、疲勞磨損率
環模單位時間的疲勞磨損量為疲勞磨損率。
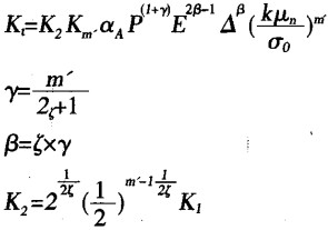
疲勞磨損率計算式K
t為

式中:K2為表面輪廓峰幾何形狀和高度決定的因數;

⑥摩擦疲勞曲線參數m和a隨著環模材料的變化而變化,環模材料強度越高,其值越大,兩者數值的增大對提高環模磨損壽命總是有利的。
6、結語
環模主要失效形式是磨料磨損。依據疲勞磨損計算模型,建立磨損率計算公式,討論了各參數對磨損和生產能力的影響,這種計算方法比較簡便,分析結果對環模的耐磨損設計和使用提供了依據。
三門峽富通新能源銷售顆粒機、飼料顆粒機、
秸稈壓塊機、
木屑顆粒機等生物質燃料飼料成型機械設備。