在環模
木屑顆粒機制粒過程中,環模受到壓輥對它產生的彎曲應力和接觸應力,這兩種應力對環模使用壽命產生一定的影響。下面分析環模的彎曲應力和接觸壓應力的產生原因和可能產生的危害。
2.5.1環模彎曲應力分析
環模在制粒的過程中會產生彎曲應力,而彎曲應力的產生與環模和壓輥的結構參數有關,彎曲應力還會對環模和壓輥使用壽命等產生影響。
2.5.1.1環模受力分析
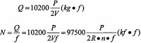
如圖2.11所示,環模受到壓輥對它的擠壓力P、物料對它的摩擦力F、電機對它的驅動力矩Mn;壓輥在環模通過物料傳遞的驅動力0作用下自轉。

對于環模有:

根據做功相等可得:

壓輥在擠壓區受飼料的摩擦力驅動下純滾動,根據經驗公式:

式中:P為主電機功率(kw):
n為環模轉速(轉/秒);
V為環模內壁線速度(m/s);
R為環模半徑(mm);
k為經驗系數(主電機用于制粒的系數);
∞為環模角速度(m/s);
廠為草粉料與環模之間的摩擦系數。
2.5.1.2彎曲強度分析

為了便于討論,可以忽略環模上環模孔等的影響作用,將環模看成一個等截面薄壁

由式(2.5.9)可知,環模的最大彎曲應力αmax與環模的內徑無關,與Bh2的值成反比。所以設計環模結構時,在條件許可的情況下應盡可能增大Bh2和D值,這樣既可以提高環模的抗彎能力,又能提高其生產效率。
2.5.2接觸抗壓強度分析
不考慮物料的作用,壓輥與環模在擠壓物料過程中,相當于一對不同半徑圓柱體的內接觸。添加載荷后,接觸表面產生局部的彈性變形,并產生很大的局部接觸壓應力,環模的承載能力,取決于環模內表面的接觸強度。
根據計算公式,接觸應力為:
通過上面的分析可以看出,環模的主要失效形式是疲勞破壞,這跟在實際使用過程中得出的結果相吻合,而彎曲應力和接觸應力不是影響環模壽命的主要因素,但這兩種應力的計算公式可以為環模和壓輥的設計提供參照,達到延長環模使用壽命的目的。